Skip to content

fmurciag/Normalize-image-opencv

Repository files navigation

Normalize-image-opencv

RGB normalization in opencv

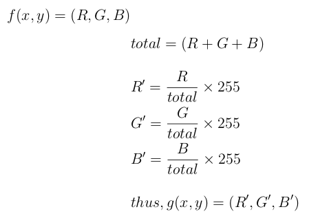
Normalization equation

equation

Example

Input Output
original normalize
original normalize
original normalize

About

RGB normalization in opencv

Topics

Resources

Stars

Watchers

Forks

Releases

No releases published

Packages

No packages published

Languages